Skip to main content
FAQs
Complain
Problems
Search form
Search
X
०९३-४२०१३७
mmdarchula@gmail.com
महाकाली नगरपालिका, खलंगा, दार्चुला,
सुदूरपश्चिम प्रदेश
"समृद्ध महाकाली सुखी महाकाली बासी"
Search form
Search
गृहपृष्ठ
परिचय
संक्षिप्त परिचय
संगठनात्मक स्वरुप
जनप्रतिनिधि
वडागत विवरण
वडा न. १ (छापरी)
वडा न. २ (सेला)
वडा न. ३ (बाँज)
वडा न. ४ (खलंगा)
वडा न. ५ (गल्फै)
वडा न. ६ (निसिल)
वडा न. ७ (धाप)
वडा न. ८ (असिगडा)
वडा न. ९ (दत्तु)
कर्मचारी विवरण
पूर्व कर्मचारी
श्रोत नक्सा
कार्यक्रम तथा परियोजना
बजेट तथा कार्यक्रम
योजना तथा परियोजना
आय व्यय विवरण
विधुतीय सुशासन
घटना दर्ता
सामाजिक सुरक्षा
नागरिक वडापत्र
नमुना फारमहरु
सूचना तथा जानकारी
सूचना तथा समाचार
सार्वजनिक खरिद/बोलपत्र सूचना
कर तथा शुल्कहरु
निर्णयहरु
नगर सभा निर्णयहरु
नगरपालिका बोर्डको निर्णयहरु
नगरपालिकाका निर्णयहरु
शिक्षा युवा तथा खेलकुद शाखा
ग्यालरी
प्रतिवेदन
मासिक प्रगति प्रतिवेदन
चौमासिक प्रगति प्रतिवेदन
वार्षिक प्रगति प्रतिवेदन
लेखा परीक्षण प्रतिवेदन
अनुगमन प्रतिवेदन
सार्वजनिक सुनुवाई
सार्वजनिक परीक्षण
सामाजिक परिक्षण
स्थानीय कानून
ऐन कानुन निर्देशिका
प्रकाशन
सम्पर्क
समाचार
शोक सम्बन्धमा
शोक विदा सम्बन्धमा
सेवा करारमा कर्मचारी पदपुर्ति गर्ने सम्बन्धमा
सीप परीक्षण आवेदन आव्हान सम्बन्धी सूचना
नदिजन्य पदार्थ लिलाम बिक्री सम्बन्धी सिलबन्दी दरभाउ पत्र पेश सम्बन्धी सूचना
सार्वजनिक सुनुवाई संचालन सम्बन्धमा
सामाजिक सुरक्षा भत्ता परिचयपत्र नवीकरण सम्बन्धी अत्यन्त जरुरी सूचना !
आ.व. २०८१-०८२ को खर्च सार्वजनिक गरिएको सम्बन्धमा
आ.व. २०८१-०८२ को भुक्तानी र खाता बन्द हुने सम्बन्धमा
सामाजिक सुरक्षा भत्ता प्राप्त गर्न राष्ट्रिय परिचयपत्र नं. (NIN) अनिवार्य भएको सम्बन्धि सूचना !
You are here
Home
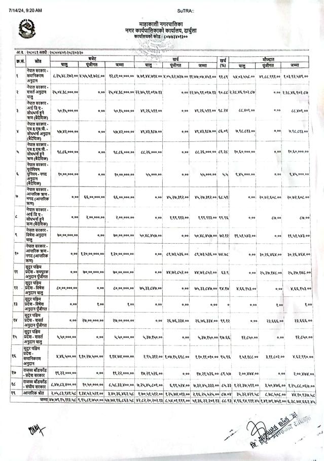
» आ.व. २०८०/०८१ को खर्चको विवरण
आ.व. २०८०/०८१ को खर्चको विवरण
Submitted on:
Sun, 07/14/2024 - 11:54
आर्थिक वर्ष:
८०/८१
प्रकार:
वार्षिक प्रगति प्रदिवेदन
Show in slider:
//